Study Guide
University:
Bismarck State CollegeCourse:
MATH 146 | Applied Calculus IAcademic year:
2023
Views:
270
Pages:
4
Author:
Alexa Livingston
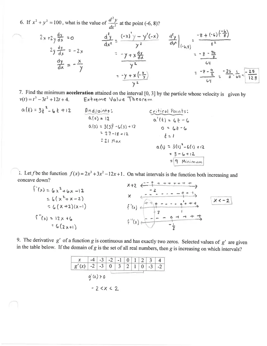
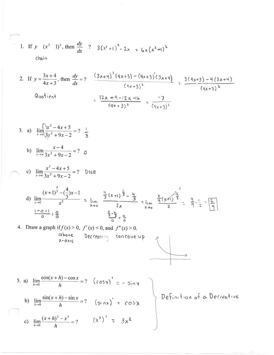
Calculus Find Acceleration
Report
Tell us what’s wrong with it:
Thanks, got it!
We will moderate it soon!
Report
Tell us what’s wrong with it:
Our EduBirdie Experts Are Here for You 24/7! Just fill out a form and let us know how we can assist you.
Enter your email below and get instant access to your document