Solutions to Review for Exam 2 on Chapters 4, 5, 6

Solutions to Review for Exam 2 on Chapters 4, 5, 6 - Page 1
Solutions to Review for Exam 2 on Chapters 4, 5, 6 - Page 2
Solutions to Review for Exam 2 on Chapters 4, 5, 6 - Page 3
Solutions to Review for Exam 2 on Chapters 4, 5, 6 - Page 4
Solutions to Review for Exam 2 on Chapters 4, 5, 6 - Page 5
Solutions to Review for Exam 2 on Chapters 4, 5, 6 - Page 6
Solutions to Review for Exam 2 on Chapters 4, 5, 6 - Page 7
Solutions to Review for Exam 2 on Chapters 4, 5, 6 - Page 8
Solutions to Review for Exam 2 on Chapters 4, 5, 6 - Page 9
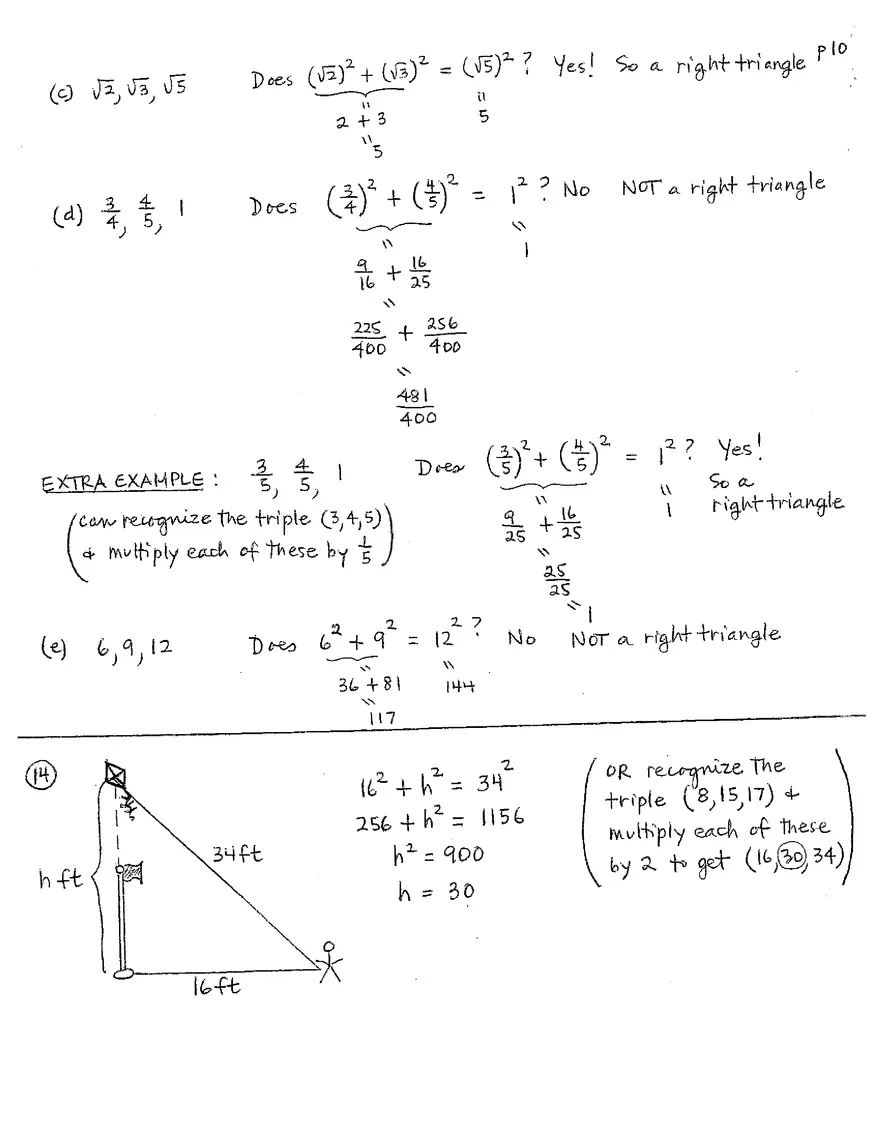
Solutions to Review for Exam 2 on Chapters 4, 5, 6 - Page 10
Solutions to Review for Exam 2 on Chapters 4, 5, 6 - Page 11
Solutions to Review for Exam 2 on Chapters 4, 5, 6 - Page 12