Fluid Dynamics Solutions

Fluid Dynamics Solutions - Page 1
Fluid Dynamics Solutions - Page 2
Fluid Dynamics Solutions - Page 3
Fluid Dynamics Solutions - Page 4
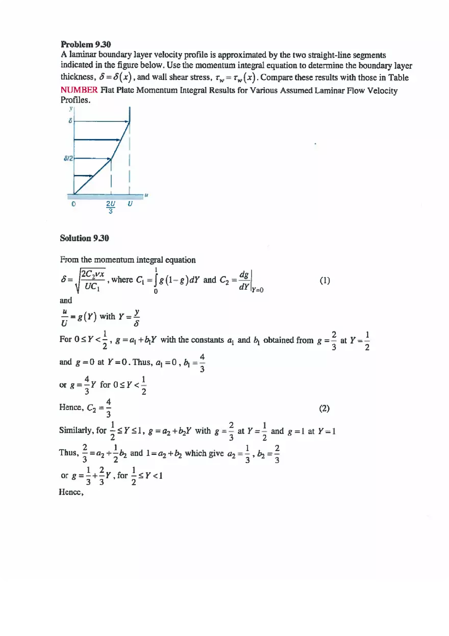
Fluid Dynamics Solutions - Page 5
Fluid Dynamics Solutions - Page 6
Fluid Dynamics Solutions - Page 7
Fluid Dynamics Solutions - Page 8
Fluid Dynamics Solutions - Page 9
Fluid Dynamics Solutions - Page 10
Fluid Dynamics Solutions - Page 11
Fluid Dynamics Solutions - Page 12
Fluid Dynamics Solutions - Page 13
Fluid Dynamics Solutions - Page 14
Fluid Dynamics Solutions - Page 15