Personality Behavior and Organizational Behavior

Personality Behavior and Organizational Behavior - Page 1
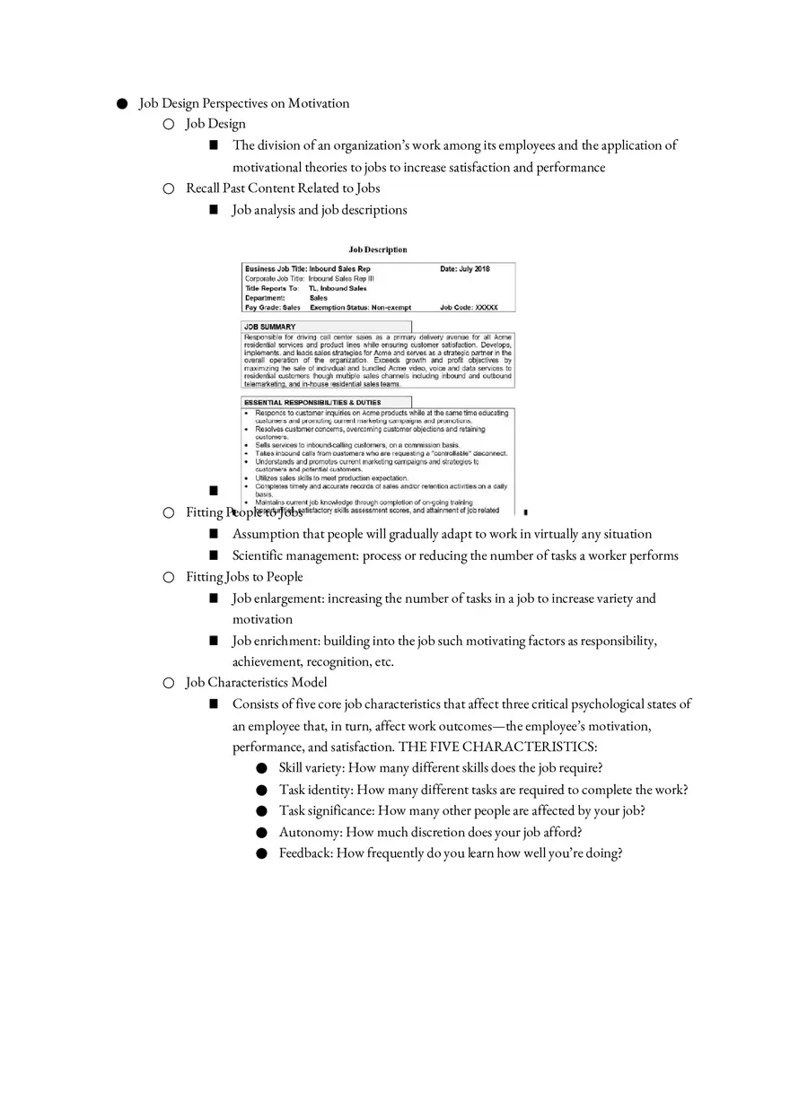
Personality Behavior and Organizational Behavior - Page 2
Personality Behavior and Organizational Behavior - Page 3
Personality Behavior and Organizational Behavior - Page 4
Personality Behavior and Organizational Behavior - Page 5
Personality Behavior and Organizational Behavior - Page 6
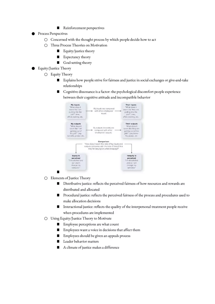
Personality Behavior and Organizational Behavior - Page 7
Personality Behavior and Organizational Behavior - Page 8
Personality Behavior and Organizational Behavior - Page 9
Personality Behavior and Organizational Behavior - Page 10
Personality Behavior and Organizational Behavior - Page 11
Personality Behavior and Organizational Behavior - Page 12
Personality Behavior and Organizational Behavior - Page 13
Personality Behavior and Organizational Behavior - Page 14
Personality Behavior and Organizational Behavior - Page 15