Study Guide
University:
Felician UniversityCourse:
MATH-231 | Geometry IAcademic year:
2021
Views:
111
Pages:
8
Author:
sonalhava9qv
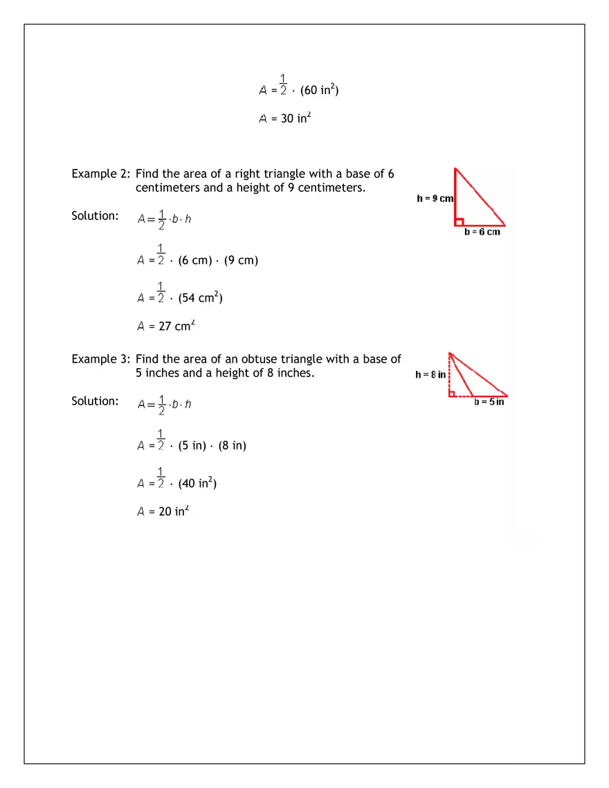
Areas of Parallelograms and Triangles
Get your assignment done in just 3 hours. Quick, easy, and available 24/7.
Report
Tell us what’s wrong with it:
Thanks, got it!
We will moderate it soon!
Report
Tell us what’s wrong with it:
Our EduBirdie Experts Are Here for You 24/7! Just fill out a form and let us know how we can assist you.
Enter your email below and get instant access to your document