Lecture Note
University:
High SchoolCourse:
High School AlgebraAcademic year:
2024
Views:
424
Pages:
10
Author:
Juvelina Ferrara
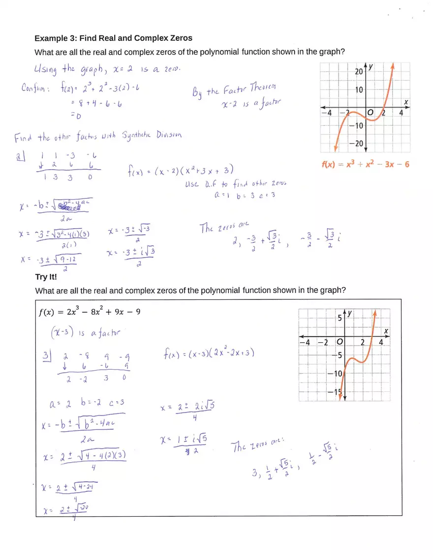
Zeros of Polynomial Functions
Report
Tell us what’s wrong with it:
Thanks, got it!
We will moderate it soon!
Report
Tell us what’s wrong with it:
Our EduBirdie Experts Are Here for You 24/7! Just fill out a form and let us know how we can assist you.
Enter your email below and get instant access to your document