Assignment
University:
High SchoolCourse:
High School ChemistryAcademic year:
2020
Views:
395
Pages:
9
Author:
Mia Li
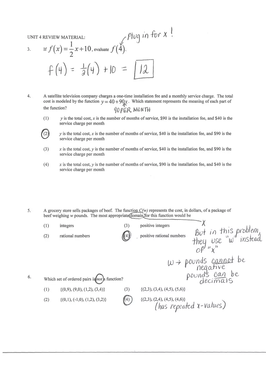
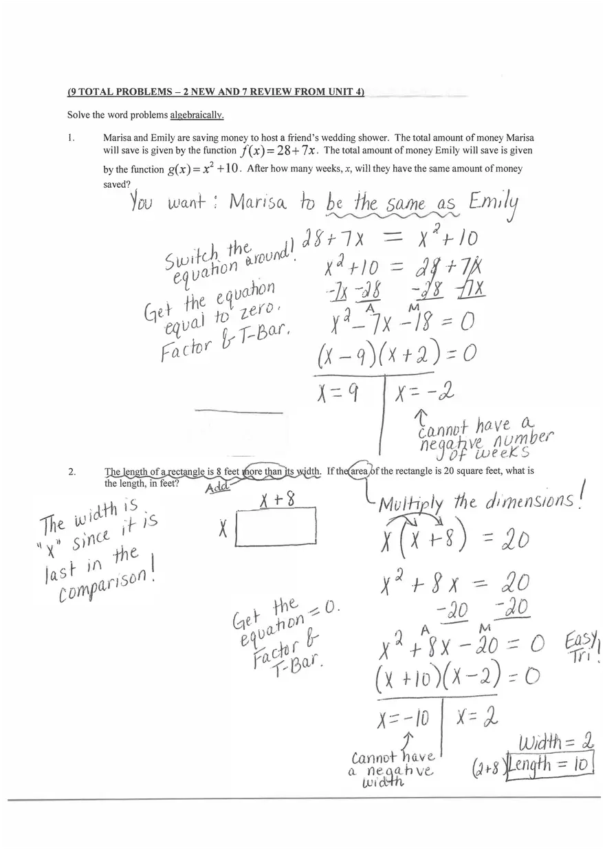
2 New and 7 Review from Unit 4 of Algebra
Get your assignment done in just 3 hours. Quick, easy, and available 24/7.
Report
Tell us what’s wrong with it:
Thanks, got it!
We will moderate it soon!
Report
Tell us what’s wrong with it:
Our EduBirdie Experts Are Here for You 24/7! Just fill out a form and let us know how we can assist you.
Enter your email below and get instant access to your document