Study Guide
University:
University of California, BerkeleyCourse:
CHEM 12A | Organic ChemistryAcademic year:
2020
Views:
286
Pages:
5
Author:
Kyuwon J.
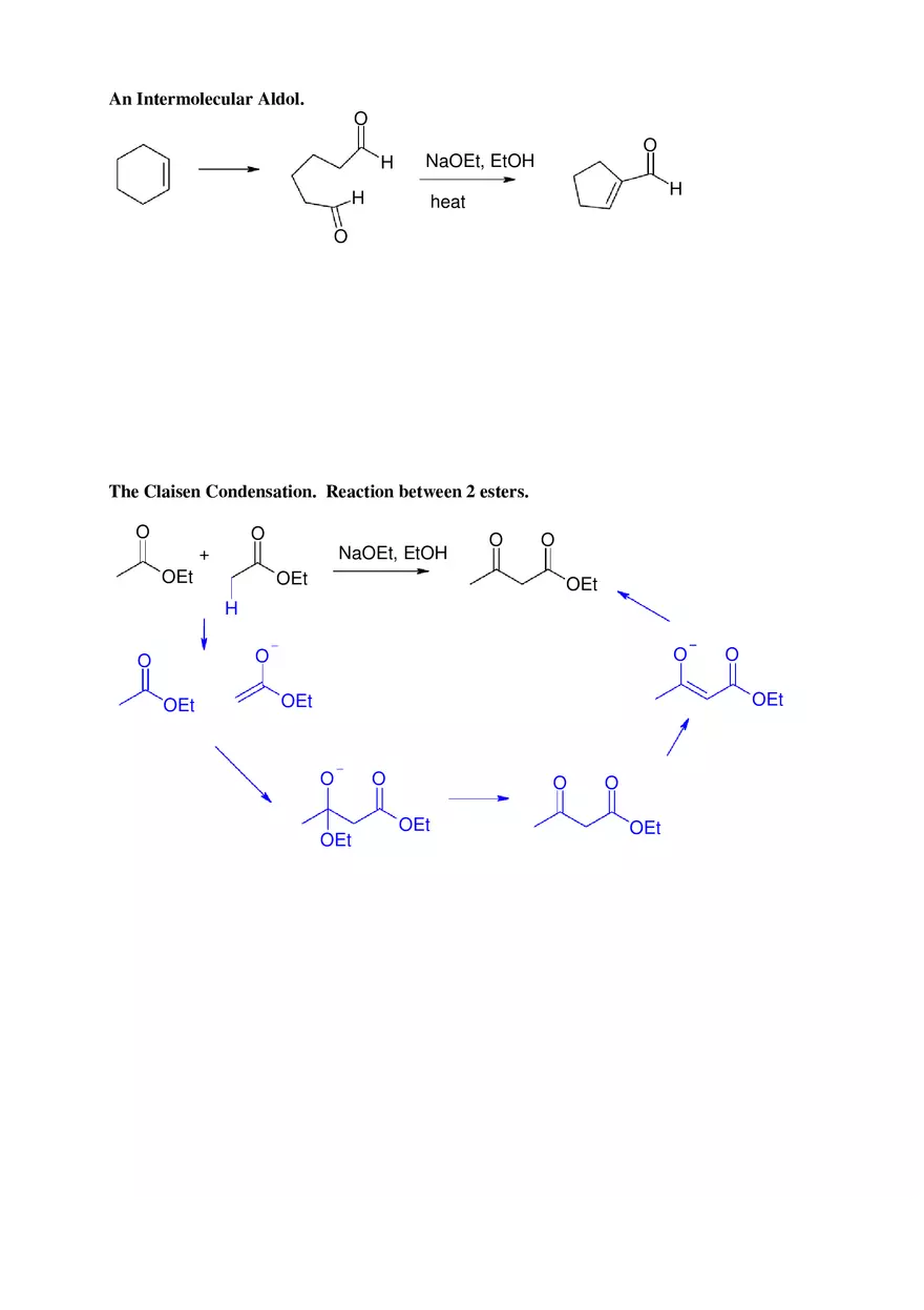
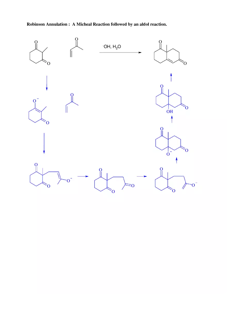
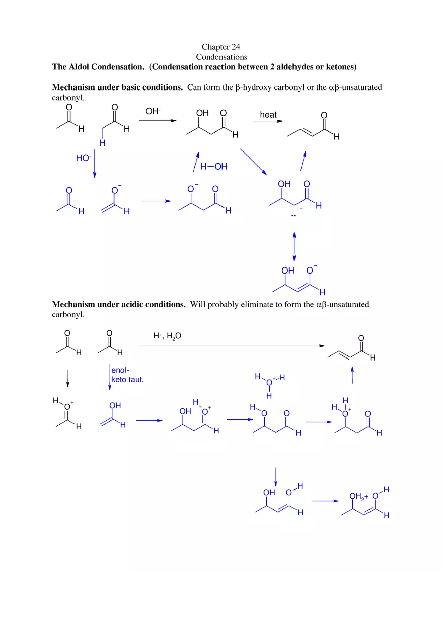
The Aldol Condensation - Practice Problems and Solutions
Report
Tell us what’s wrong with it:
Thanks, got it!
We will moderate it soon!
Report
Tell us what’s wrong with it:
Our EduBirdie Experts Are Here for You 24/7! Just fill out a form and let us know how we can assist you.
Enter your email below and get instant access to your document