The Effect of Water Volume Variation on Evaporation Time

The Effect of Water Volume Variation on Evaporation Time - Page 1
The Effect of Water Volume Variation on Evaporation Time - Page 2
The Effect of Water Volume Variation on Evaporation Time - Page 3
The Effect of Water Volume Variation on Evaporation Time - Page 4
The Effect of Water Volume Variation on Evaporation Time - Page 5
The Effect of Water Volume Variation on Evaporation Time - Page 6
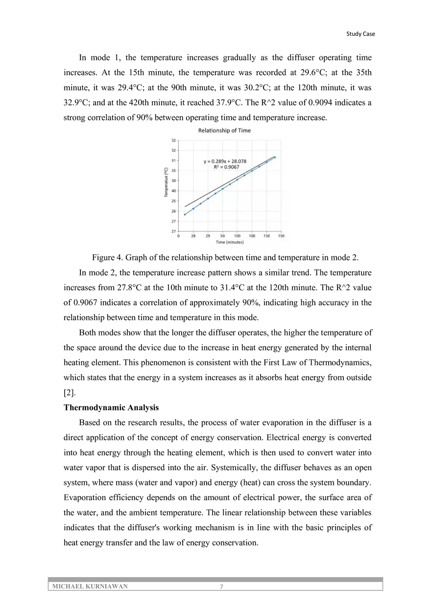
The Effect of Water Volume Variation on Evaporation Time - Page 7
The Effect of Water Volume Variation on Evaporation Time - Page 8
The Effect of Water Volume Variation on Evaporation Time - Page 9