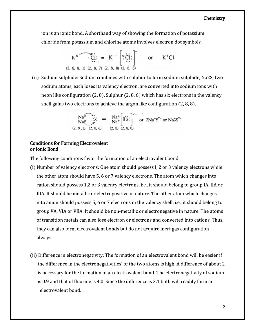
Study Guide
University:
Widener UniversityCourse:
CHEM-101 | Intro to Chemistry IAcademic year:
2021
Views:
469
Pages:
5
Author:
Charlee Buchanan
Report
Tell us what’s wrong with it:
Thanks, got it!
We will moderate it soon!
Report
Tell us what’s wrong with it:
Our EduBirdie Experts Are Here for You 24/7! Just fill out a form and let us know how we can assist you.
Enter your email below and get instant access to your document