Report
University:
Blythewood High SchoolCourse:
LiteratureAcademic year:
2020
Views:
246
Pages:
8
Author:
amrinderjeet kaur
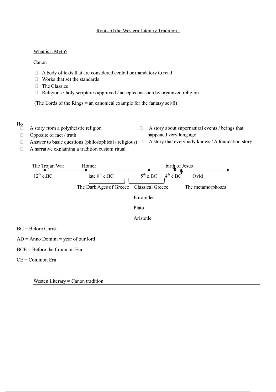
Roots of the Western Literary Tradition
Report
Tell us what’s wrong with it:
Thanks, got it!
We will moderate it soon!
Report
Tell us what’s wrong with it:
Our EduBirdie Experts Are Here for You 24/7! Just fill out a form and let us know how we can assist you.
Enter your email below and get instant access to your document