Video Commentary and Reflection Form

Video Commentary and Reflection Form - Page 1
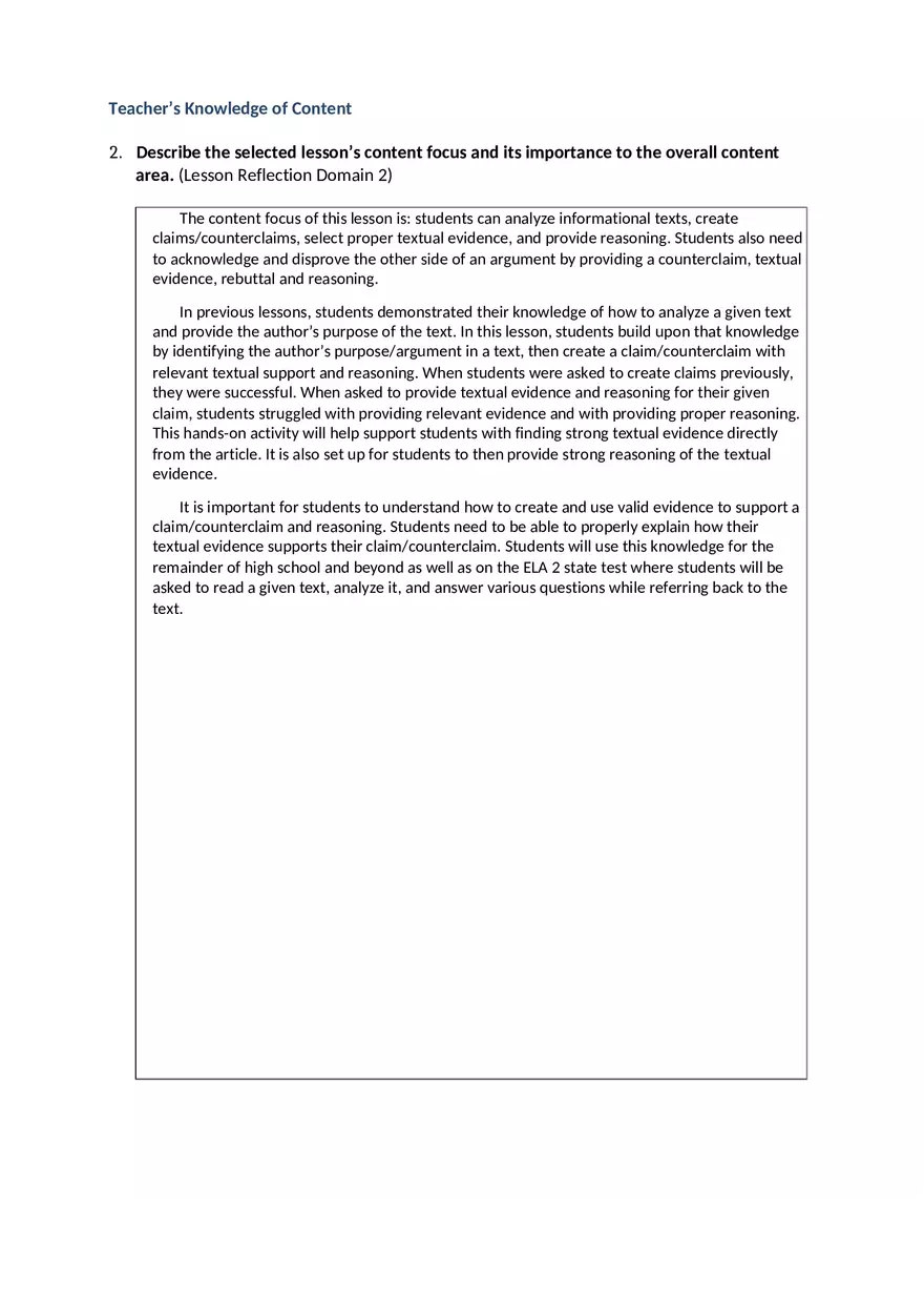
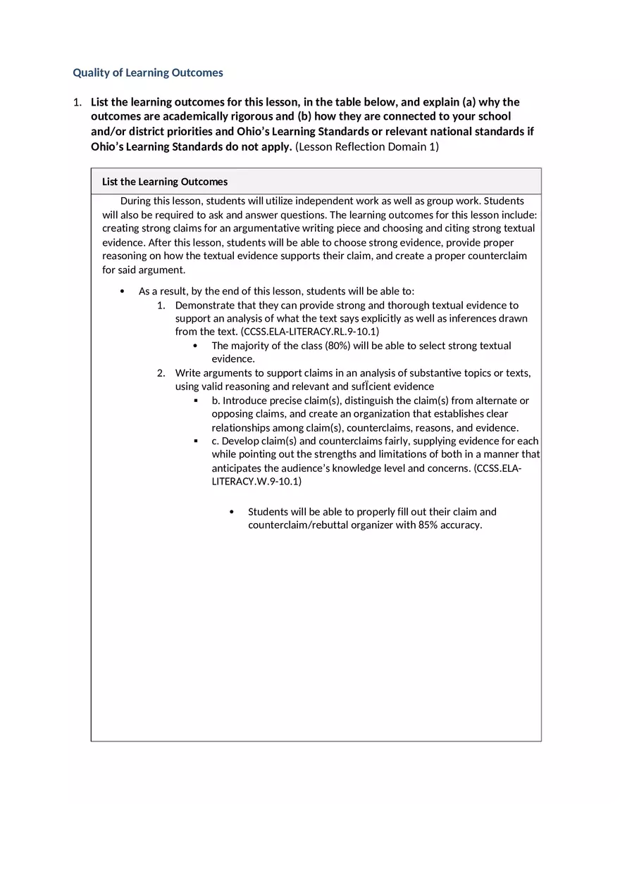
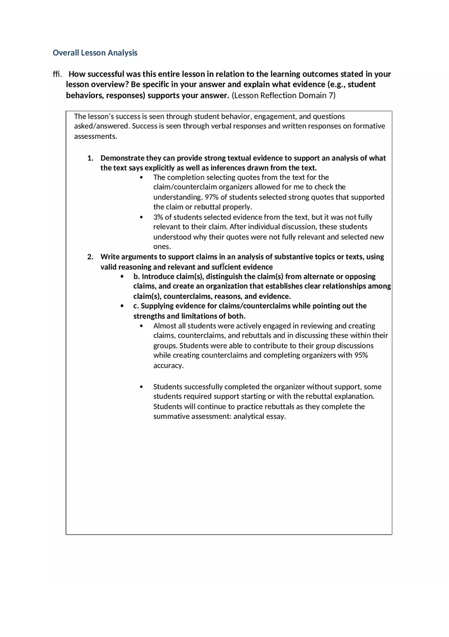
Video Commentary and Reflection Form - Page 2
Video Commentary and Reflection Form - Page 3
Video Commentary and Reflection Form - Page 4
Video Commentary and Reflection Form - Page 5
Video Commentary and Reflection Form - Page 6
Video Commentary and Reflection Form - Page 7
Video Commentary and Reflection Form - Page 8
Video Commentary and Reflection Form - Page 9
Video Commentary and Reflection Form - Page 10
Video Commentary and Reflection Form - Page 11
Video Commentary and Reflection Form - Page 12
Video Commentary and Reflection Form - Page 13
Video Commentary and Reflection Form - Page 14
Video Commentary and Reflection Form - Page 15