Case
University:
Hofstra UniversityCourse:
LAW 4761 | EvidenceAcademic year:
2022
Views:
140
Pages:
2
Author:
Marissa Willix
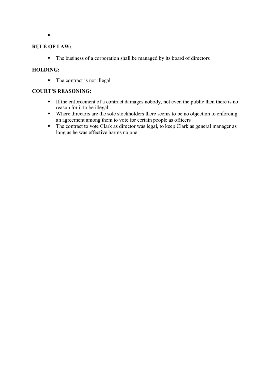
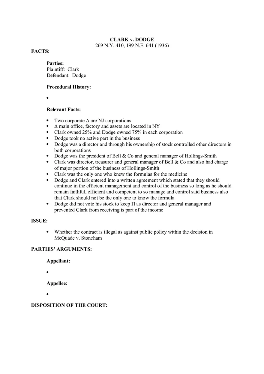
Clark v. Dodge
Get your assignment done in just 3 hours. Quick, easy, and available 24/7.
Report
Tell us what’s wrong with it:
Thanks, got it!
We will moderate it soon!
Report
Tell us what’s wrong with it:
Our EduBirdie Experts Are Here for You 24/7! Just fill out a form and let us know how we can assist you.
Enter your email below and get instant access to your document