ATHARUA
SANJEEV
HARSAE
EEC189L Quantum Computing, Fall 2025
Homework 5
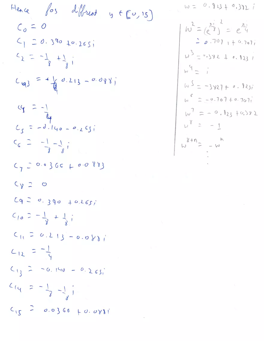
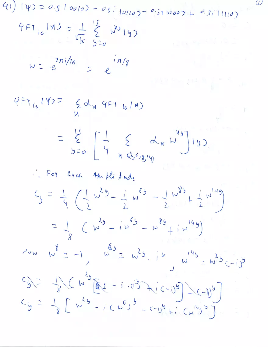
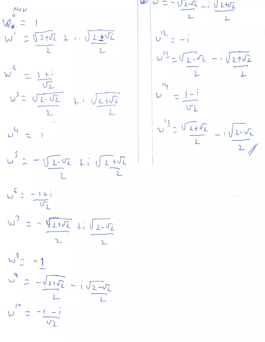
1. For ) = 0.5/0010)-0.5/10110)-0.5/1000)+0.5(1110), calculate QFT()) using the equation in textbook, page 363.
2. Read the subsection Recursive matrix (textbook pages 365-366) and compute P24.
3. Draw a circuit for QFT with 4 qubits.
4. Write out the matrix for QFT4.
5. Using the matrix from the previous problem, calculate QFT([)) for 1) = 0.510010)-0.5/10110)-0.5/1000)+0.5/(1110) and compare to the result in problem 1.
* Collaboration is encouraged. Submissions must be individual contributions. Problems carry equal score.