Chapter 1 Solutions to Answers of Basic Engineering Circuit Analysis (Part 1)

Chapter 1 Solutions to Answers of Basic Engineering Circuit Analysis (Part 1) - Page 1
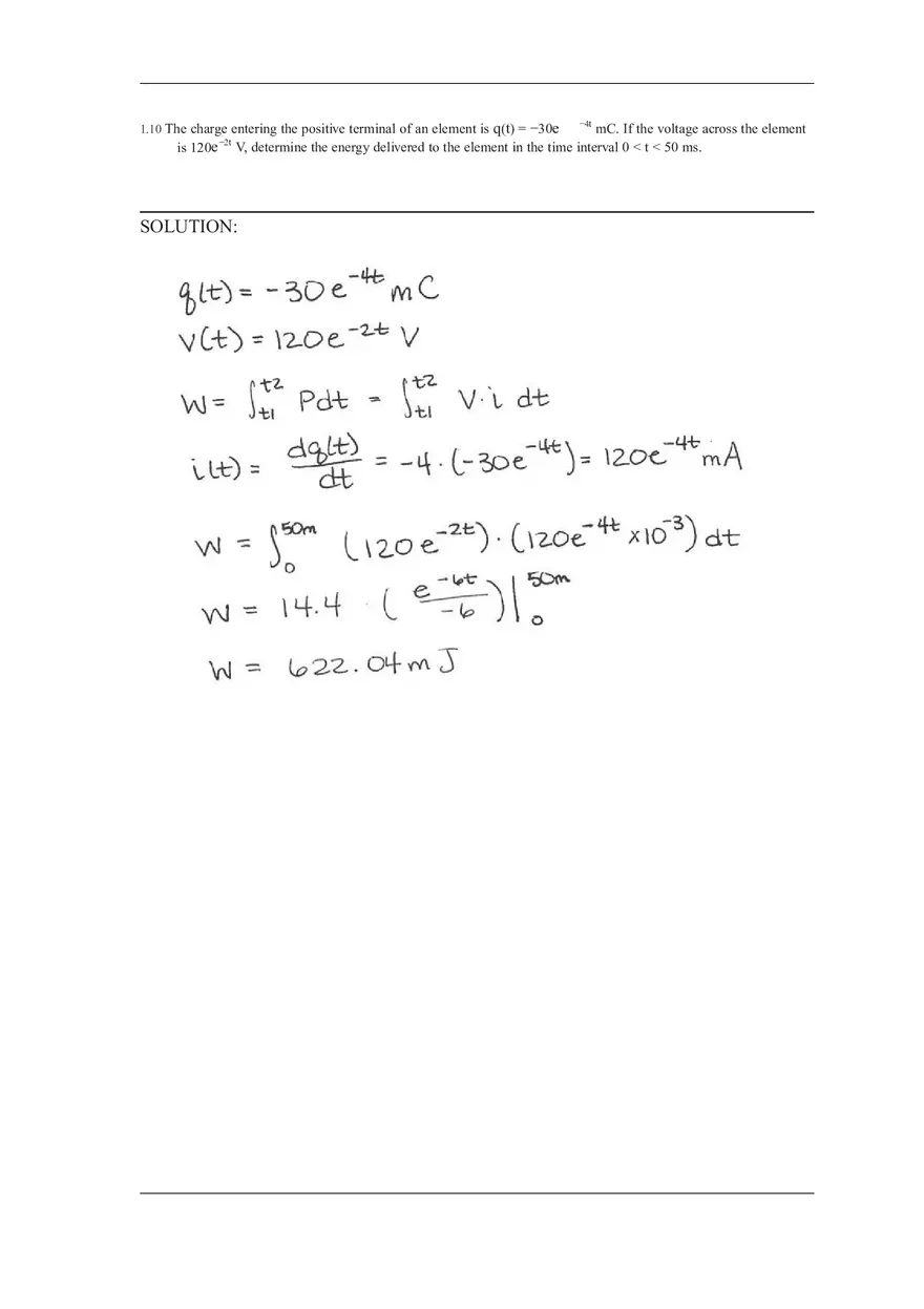
Chapter 1 Solutions to Answers of Basic Engineering Circuit Analysis (Part 1) - Page 2
Chapter 1 Solutions to Answers of Basic Engineering Circuit Analysis (Part 1) - Page 3
Chapter 1 Solutions to Answers of Basic Engineering Circuit Analysis (Part 1) - Page 4
Chapter 1 Solutions to Answers of Basic Engineering Circuit Analysis (Part 1) - Page 5
Chapter 1 Solutions to Answers of Basic Engineering Circuit Analysis (Part 1) - Page 6
Chapter 1 Solutions to Answers of Basic Engineering Circuit Analysis (Part 1) - Page 7
Chapter 1 Solutions to Answers of Basic Engineering Circuit Analysis (Part 1) - Page 8
Chapter 1 Solutions to Answers of Basic Engineering Circuit Analysis (Part 1) - Page 9
Chapter 1 Solutions to Answers of Basic Engineering Circuit Analysis (Part 1) - Page 10