Integration By U Substitution (Homework)

Integration By U Substitution (Homework) - Page 1
Integration By U Substitution (Homework) - Page 2
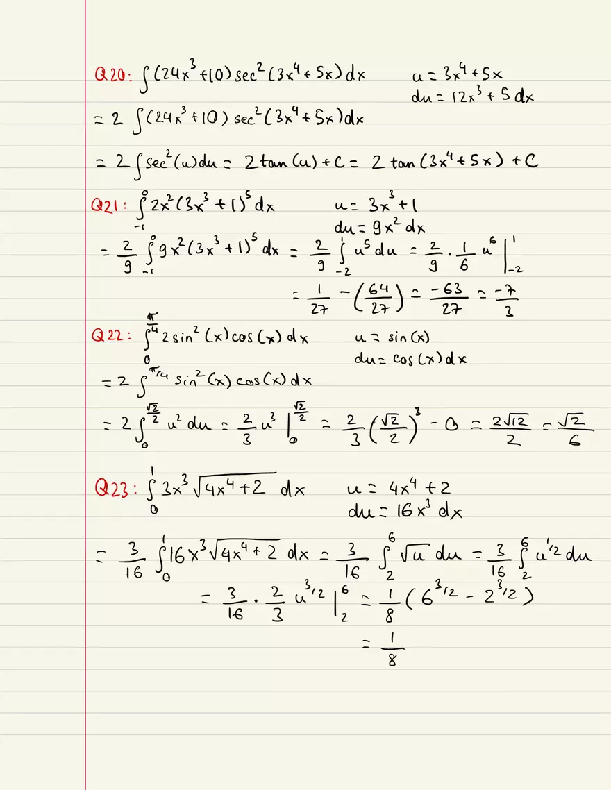
Integration By U Substitution (Homework) - Page 3
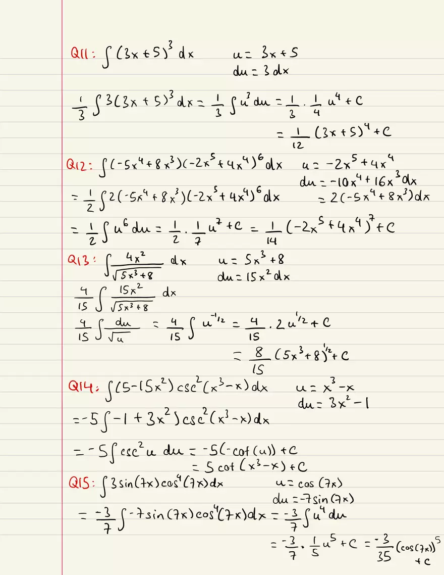
Integration By U Substitution (Homework) - Page 4
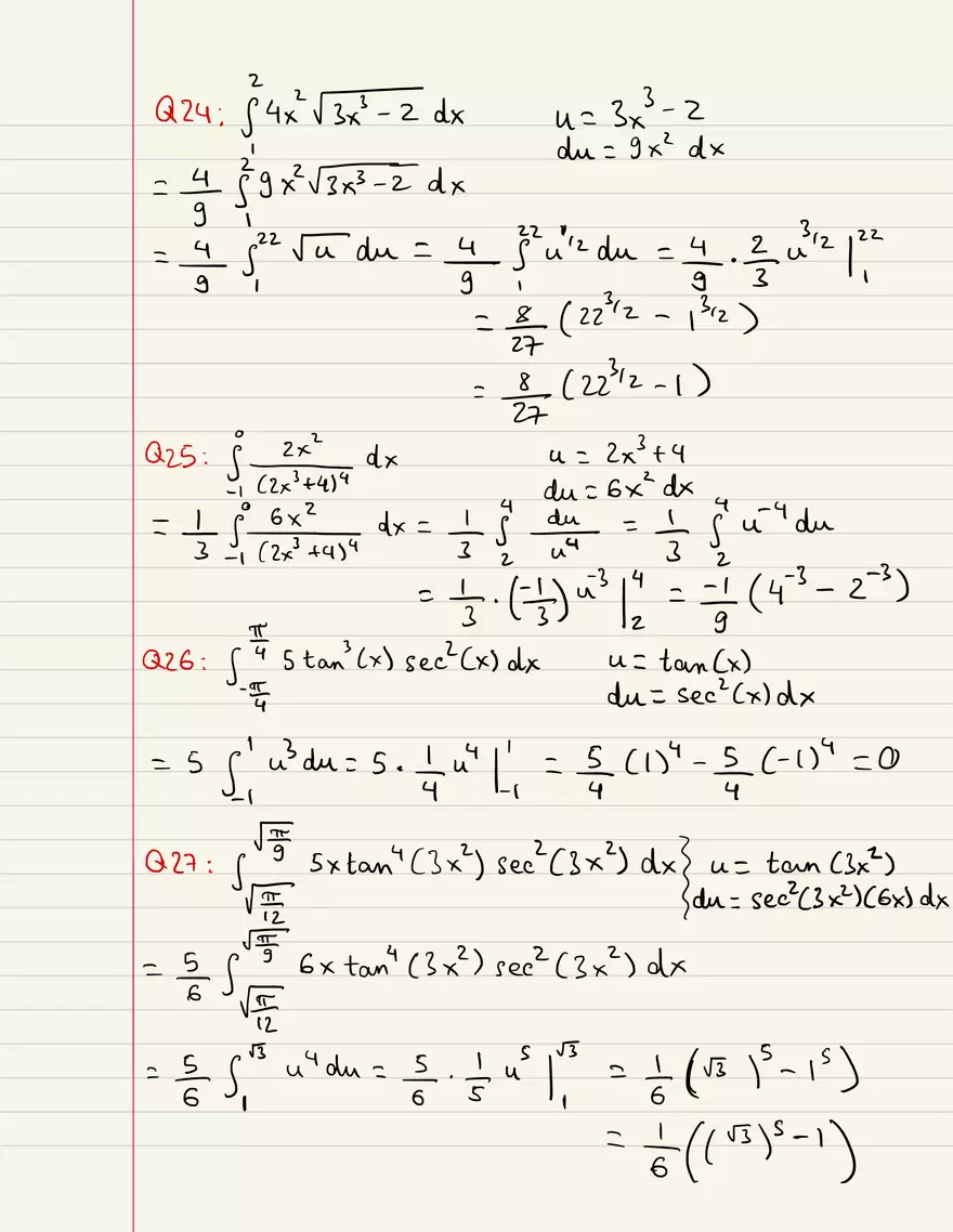
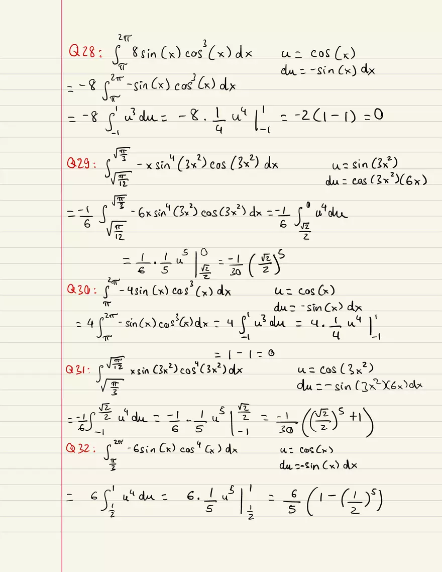
Integration By U Substitution (Homework) - Page 5
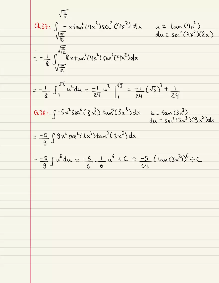
Integration By U Substitution (Homework) - Page 6
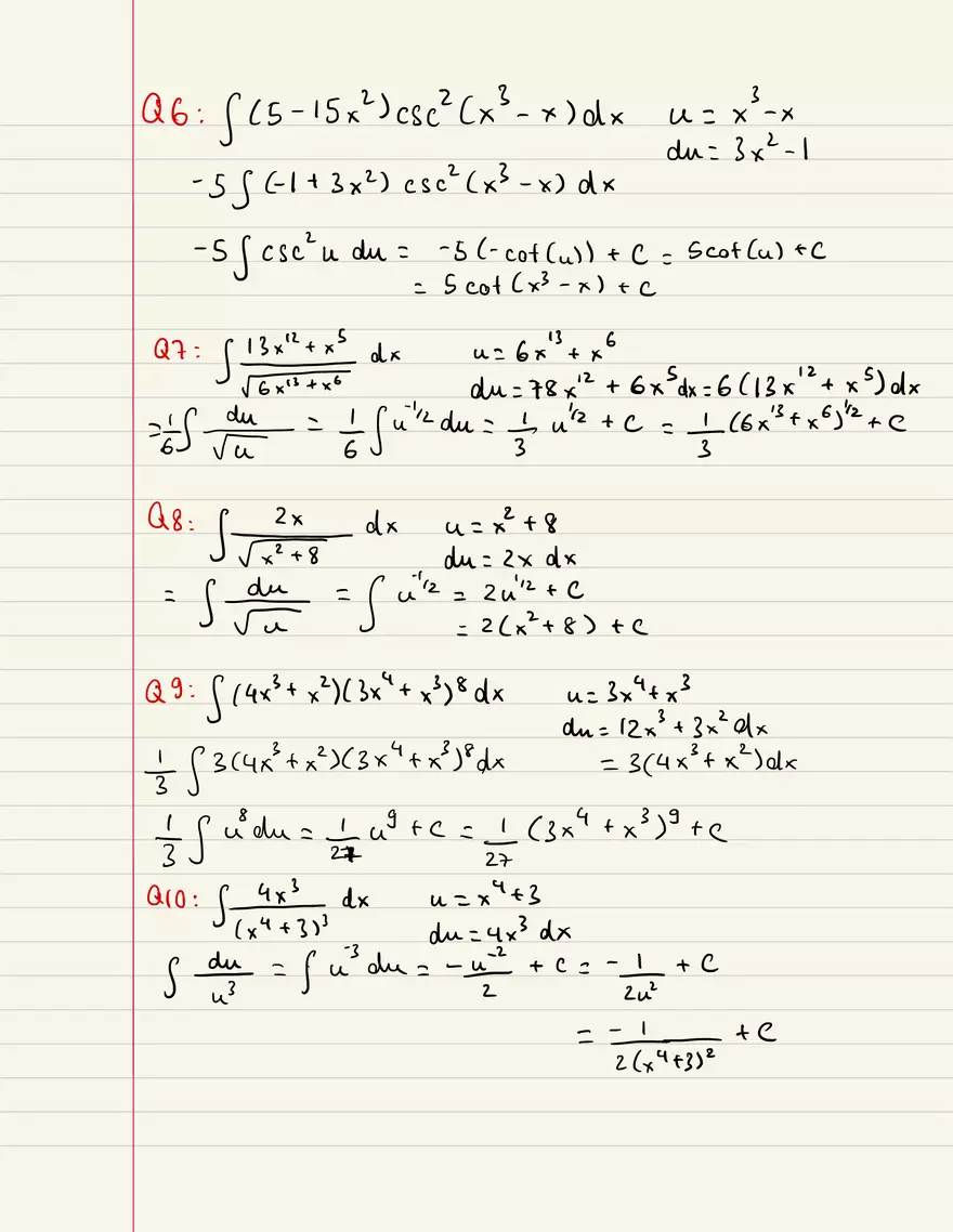
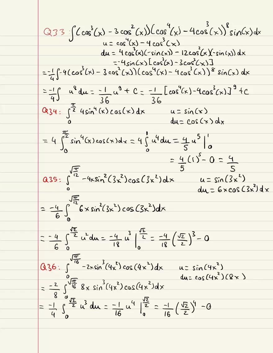
Integration By U Substitution (Homework) - Page 7
Integration By U Substitution (Homework) - Page 8
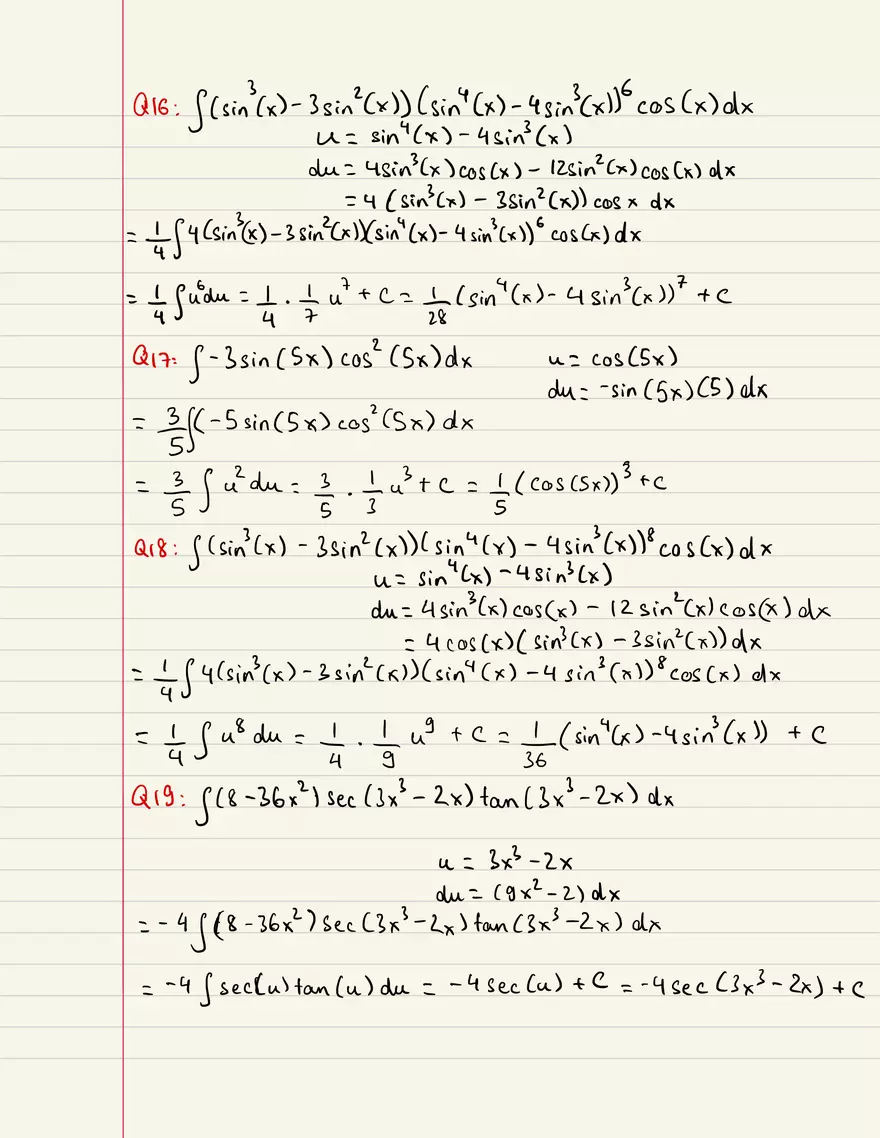
Integration By U Substitution (Homework) - Page 9