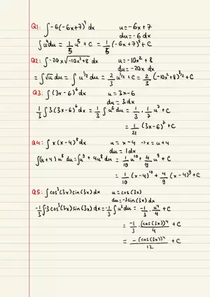
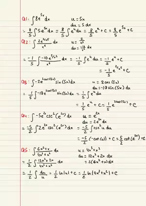
Take your mathematics skills to the next level with our MAC 2312 study materials. Our comprehensive lecture notes will help you to understand the complexities of calculus with analytic geometry. You can access meticulously crafted study guides that offer valuable insights into advanced calculus concepts such as integration techniques and polar coordinates. Our practical case studies will enable you to apply calculus to real-world problems in physics, engineering, and economics. Our detailed study notes cover essential calculus theorems and formulas, and answer keys provide clarity on complex calculus problems. With our study resources, you can enhance your learning experience and conquer calculus with confidence.