Enterprise Networking, Security, and Automation

Enterprise Networking, Security, and Automation - Page 1
Enterprise Networking, Security, and Automation - Page 2
Enterprise Networking, Security, and Automation - Page 3
Enterprise Networking, Security, and Automation - Page 4
Enterprise Networking, Security, and Automation - Page 5
Enterprise Networking, Security, and Automation - Page 6
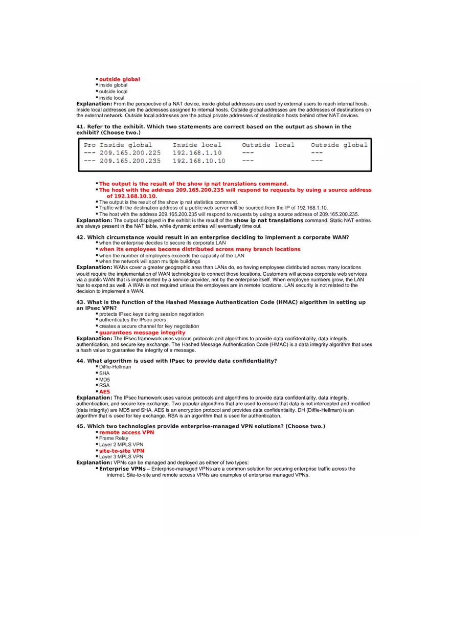
Enterprise Networking, Security, and Automation - Page 7
Enterprise Networking, Security, and Automation - Page 8
Enterprise Networking, Security, and Automation - Page 9
Enterprise Networking, Security, and Automation - Page 10
Enterprise Networking, Security, and Automation - Page 11
Enterprise Networking, Security, and Automation - Page 12
Enterprise Networking, Security, and Automation - Page 13
Enterprise Networking, Security, and Automation - Page 14
Enterprise Networking, Security, and Automation - Page 15
Enterprise Networking, Security, and Automation - Page 16
Enterprise Networking, Security, and Automation - Page 17
Enterprise Networking, Security, and Automation - Page 18
Enterprise Networking, Security, and Automation - Page 19
Enterprise Networking, Security, and Automation - Page 20