Answer Key
University:
Massachusetts Institute of TechnologyCourse:
2.58J | Radiative TransferAcademic year:
2019
Views:
113
Pages:
9
Author:
camilobonilladz36
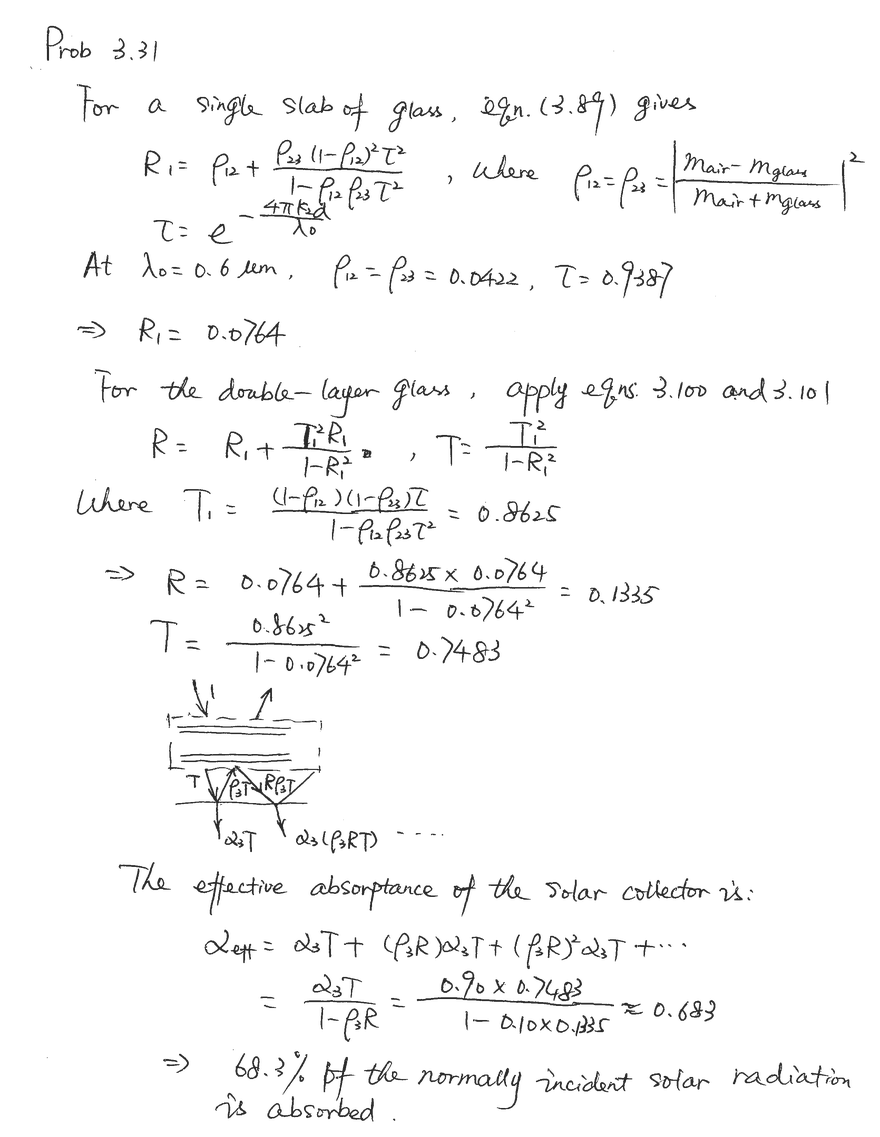
2.58 HW3 Solutions
Report
Tell us what’s wrong with it:
Thanks, got it!
We will moderate it soon!
Report
Tell us what’s wrong with it:
Our EduBirdie Experts Are Here for You 24/7! Just fill out a form and let us know how we can assist you.
Enter your email below and get instant access to your document