Classical Mechanics - Test Banks and Practical Problems

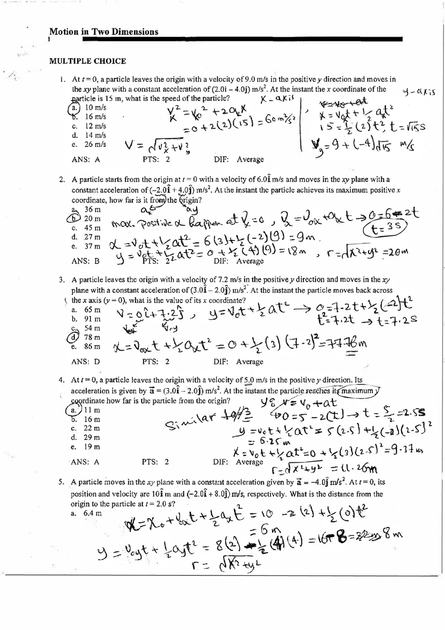
Classical Mechanics - Test Banks and Practical Problems - Page 1
Classical Mechanics - Test Banks and Practical Problems - Page 2
Classical Mechanics - Test Banks and Practical Problems - Page 3
Classical Mechanics - Test Banks and Practical Problems - Page 4
Classical Mechanics - Test Banks and Practical Problems - Page 5
Classical Mechanics - Test Banks and Practical Problems - Page 6
Classical Mechanics - Test Banks and Practical Problems - Page 7
Classical Mechanics - Test Banks and Practical Problems - Page 8
Classical Mechanics - Test Banks and Practical Problems - Page 9
Classical Mechanics - Test Banks and Practical Problems - Page 10
Classical Mechanics - Test Banks and Practical Problems - Page 11
Classical Mechanics - Test Banks and Practical Problems - Page 12
Classical Mechanics - Test Banks and Practical Problems - Page 13
Classical Mechanics - Test Banks and Practical Problems - Page 14
Classical Mechanics - Test Banks and Practical Problems - Page 15
Classical Mechanics - Test Banks and Practical Problems - Page 16
Classical Mechanics - Test Banks and Practical Problems - Page 17
Classical Mechanics - Test Banks and Practical Problems - Page 18