Lecture Note
University:
Princeton UniversityCourse:
PHY 103 | General Physics IAcademic year:
2025
Views:
98
Pages:
3
Author:
customer-8518241
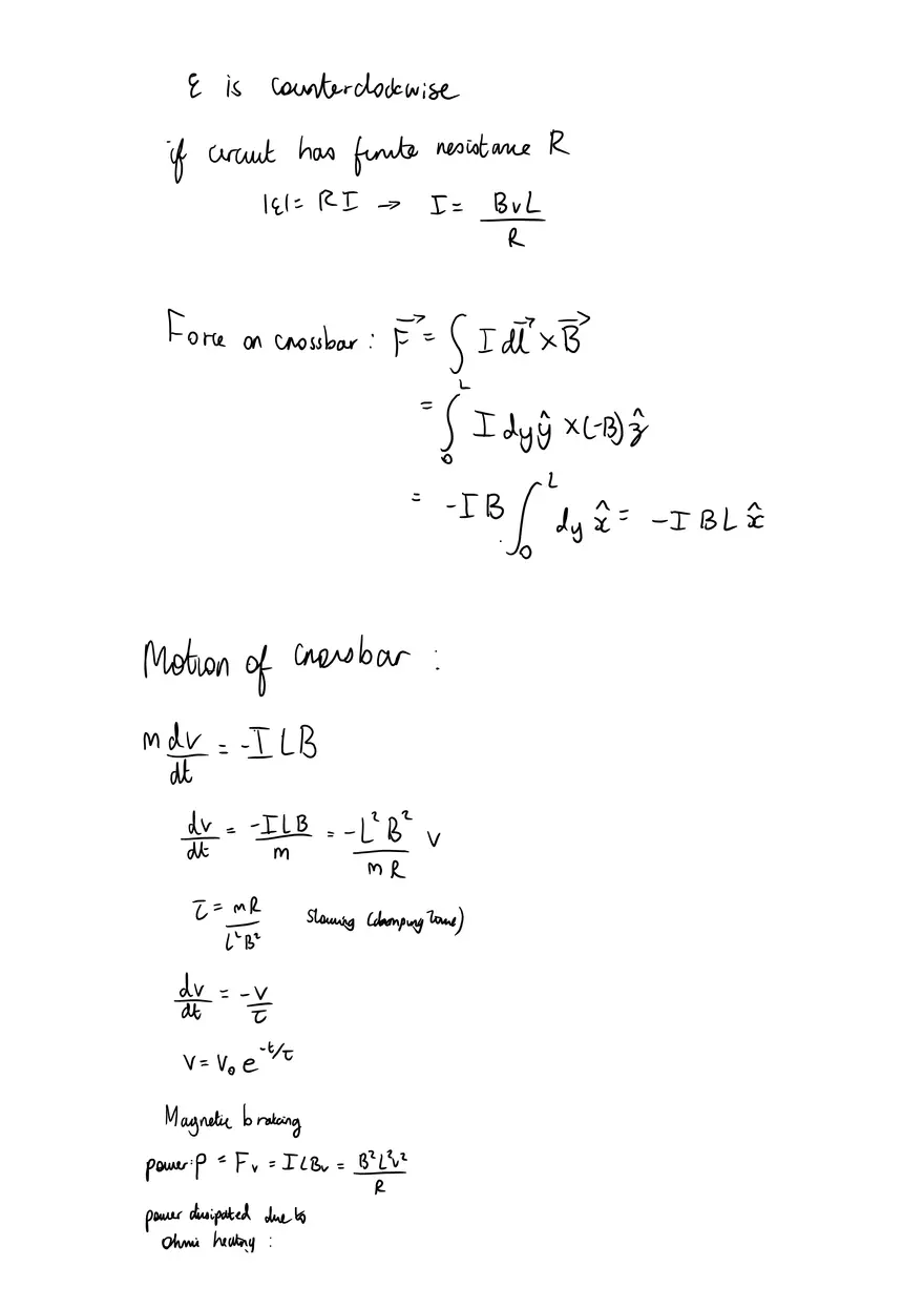
Faradays Law - Homework Solutions
Get your assignment done in just 3 hours. Quick, easy, and available 24/7.
Report
Tell us what’s wrong with it:
Thanks, got it!
We will moderate it soon!
Report
Tell us what’s wrong with it:
Our EduBirdie Experts Are Here for You 24/7! Just fill out a form and let us know how we can assist you.
Enter your email below and get instant access to your document