Study Guide
University:
Sam Houston State UniversityCourse:
AGRI 5370 | Food and Fiber CropsAcademic year:
2024
Views:
262
Pages:
1
Author:
Alexa Livingston
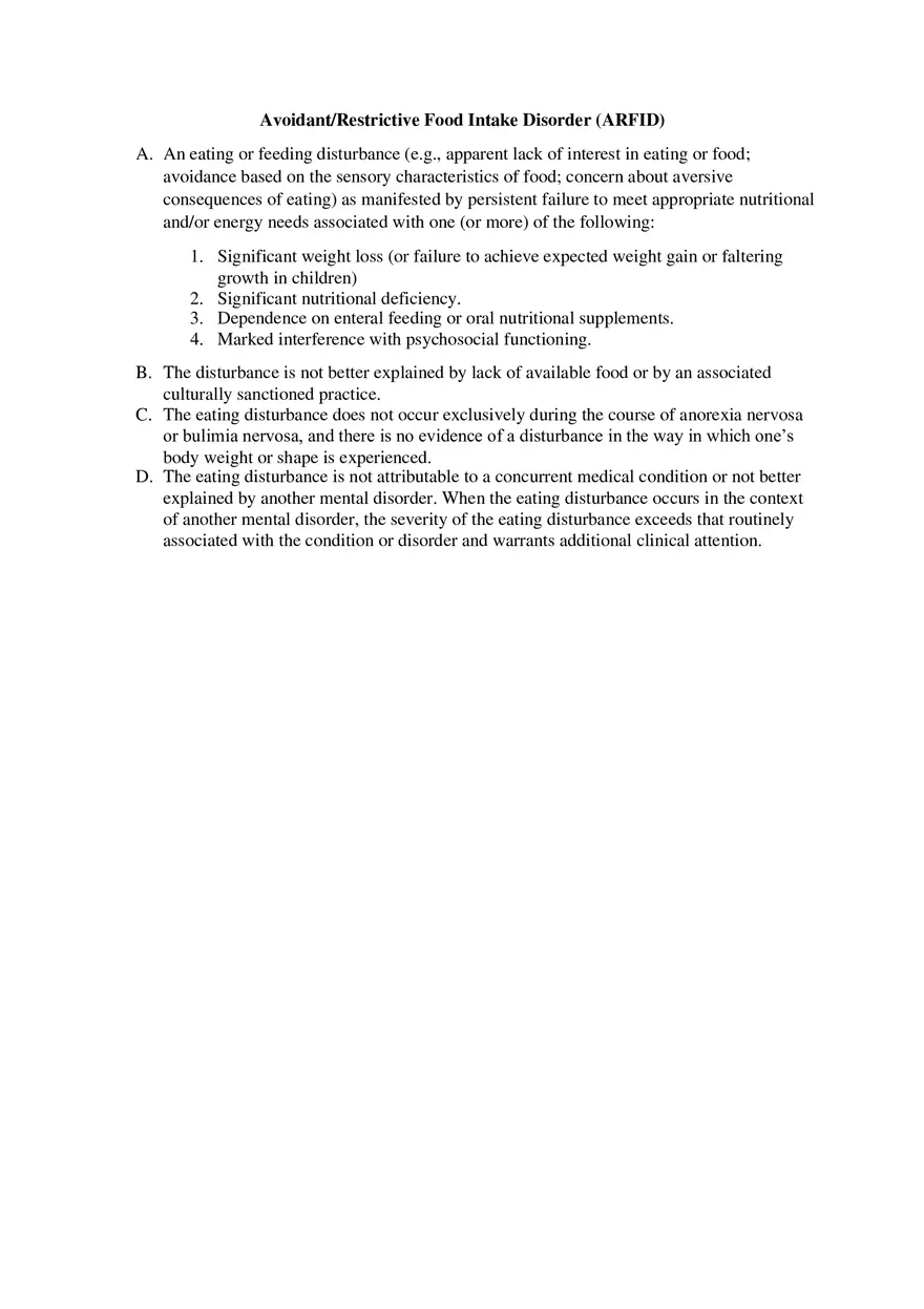
Avoidant Restrictive Food Intake Disorder
Report
Tell us what’s wrong with it:
Thanks, got it!
We will moderate it soon!
Report
Tell us what’s wrong with it:
Our EduBirdie Experts Are Here for You 24/7! Just fill out a form and let us know how we can assist you.
Enter your email below and get instant access to your document