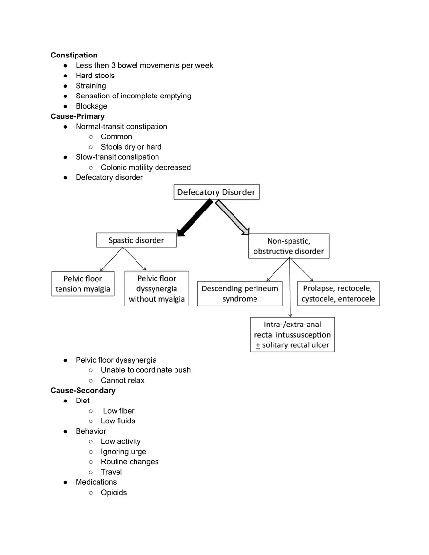
Lecture Note
University:
The University Of Western OntarioCourse:
MED 5161 | Principle of MedicineAcademic year:
2025
Views:
436
Pages:
3
Author:
Kyuwon J.
Report
Tell us what’s wrong with it:
Thanks, got it!
We will moderate it soon!
Report
Tell us what’s wrong with it:
Our EduBirdie Experts Are Here for You 24/7! Just fill out a form and let us know how we can assist you.
Enter your email below and get instant access to your document