Answer Key
University:
Bradley UniversityCourse:
ECO 199 | Foundational Topics in EconomicsAcademic year:
2023
Views:
496
Pages:
5
Author:
kundgetanufv
Report
Tell us what’s wrong with it:
Thanks, got it!
We will moderate it soon!
Report
Tell us what’s wrong with it:
Our EduBirdie Experts Are Here for You 24/7! Just fill out a form and let us know how we can assist you.
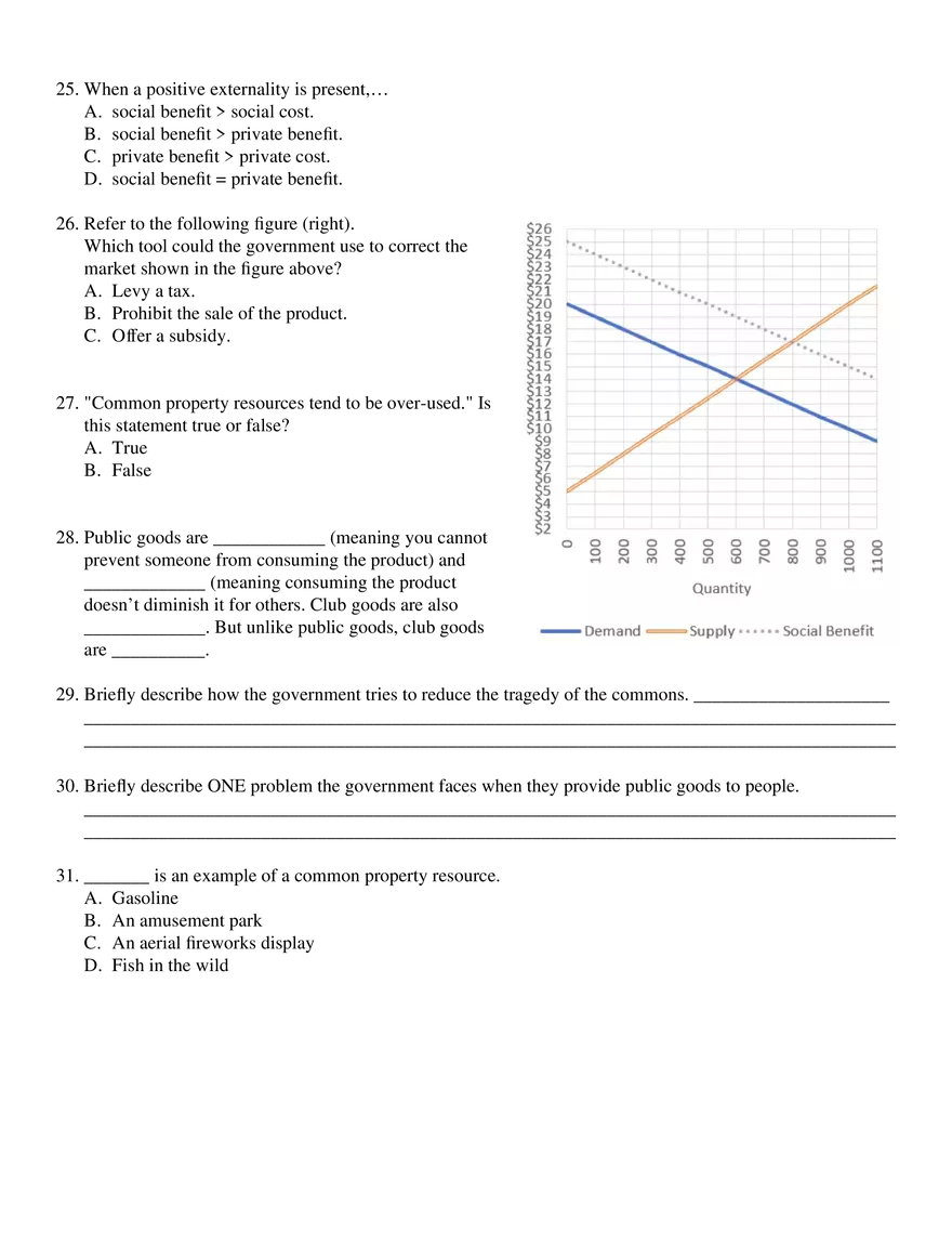
Enter your email below and get instant access to your document