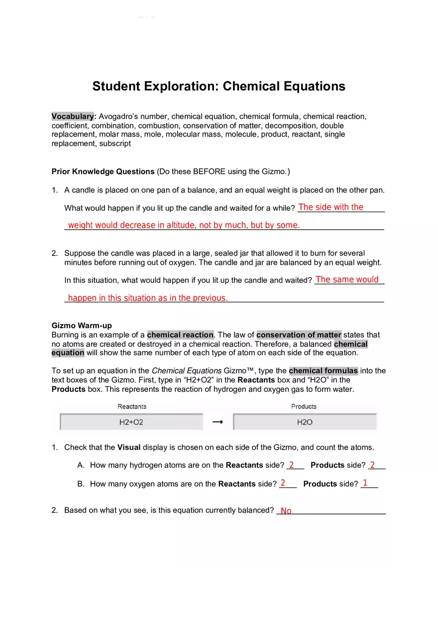
Answer Key
University:
Harrisburg University of Science and TechnologyCourse:
HEM 210 | Organic Chemistry IAcademic year:
2024
Views:
440
Pages:
6
Author:
Hallie Randolph
Report
Tell us what’s wrong with it:
Thanks, got it!
We will moderate it soon!
Report
Tell us what’s wrong with it:
Our EduBirdie Experts Are Here for You 24/7! Just fill out a form and let us know how we can assist you.
Enter your email below and get instant access to your document