Math 10-3
Name Key
Finding Angles in Right Triangles
Find each angle measure to the nearest degree.
1) sin W = 0.6293 arcsin(0.6243) = 39
2) tan V = 0.9004 arctan(0.9004) = 42
3) cos C = 0.8746 arccos(0.8746) = 29
4) tan X = 2.4751 arctan(2.4751) = 68
5) cos X = 0.6293 arccos(0.62/3) = 51
6) sin W = 0.9994 sin^ - prime (0.954) = 88
* Name the angle with the? mark as "B". Name the right angle as "C" and the last angle "A".
* Lable the sides as: HYP, OPP, ADJ.
* Write the three ratios.
* Use the best ratio to determine the measure of the indicated angle to the nearest degree.
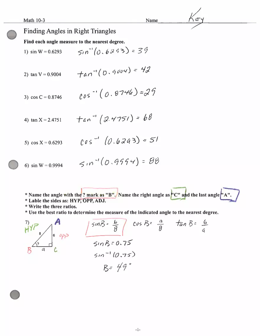
7)
HYP
A
sin B = b/8
cos B = a/theta
tan B = 6/9
8
B
a C
sin B = 0.75
arcsin(0.75)
B = 49
8) A
s * D/(mP)
HYP
48
C
28
B
adj
sin B = (opp)/(h + p)
sin beta = b/(4theta)
cos B = (adj)/(hy*rho)
tan beta = 0.57/(a*sigma_{1})
ton B: 98
cos beta = 28/(4theta) cos B = 0.5833 cos^ -1 (0. sss * 33 ) B = 54 deg
9)
Hy * L/p
A
17 overline oPP
sin B = (ops)/(hr / s)
sin B = 17/c
cos B: ads
cos beta = 6/c
tan B= 6p3 6dj
arctan(2.8333) tan B = 2.8333 B = 71 deg tan B = 17/6
sin B = (OPP)/(h_{M}*P)
B
adj
6 C
Hyp
37
기
10)
19
B
overline opp
odi a
C
arcsin(0.5135) B =3/^ sin B = 19/37 sin B = 0.57135
cos B= ad I ^ - hy*rho cos beta = a/37
tan B= sPP ad j ^ -
tan B = 19/9
11)
HYP
A
sin B = (sPP)/(hy * 1 ^ 2)
Cos B= adi hyp
ton B: ?? adj
C
B
20
adi
sin B = 6/c
cos B = 80/c
tan beta = 6/20
tan B = 0.3
arctan(0.3)
B = 17 deg
12)
ddo
22
B
30 Hyp
A
sin B = b/35
SinB = OPP دردره hyp
cos B = ads hyp
tan B: OPP adj
tan B = b/22
arccos(0.6286) cos beta = 0.6286 B = 51 deg cos B = 22/35