Answer Key
University:
Arizona State UniversityCourse:
BIO 181 | General Biology IAcademic year:
2022
Views:
142
Pages:
4
Author:
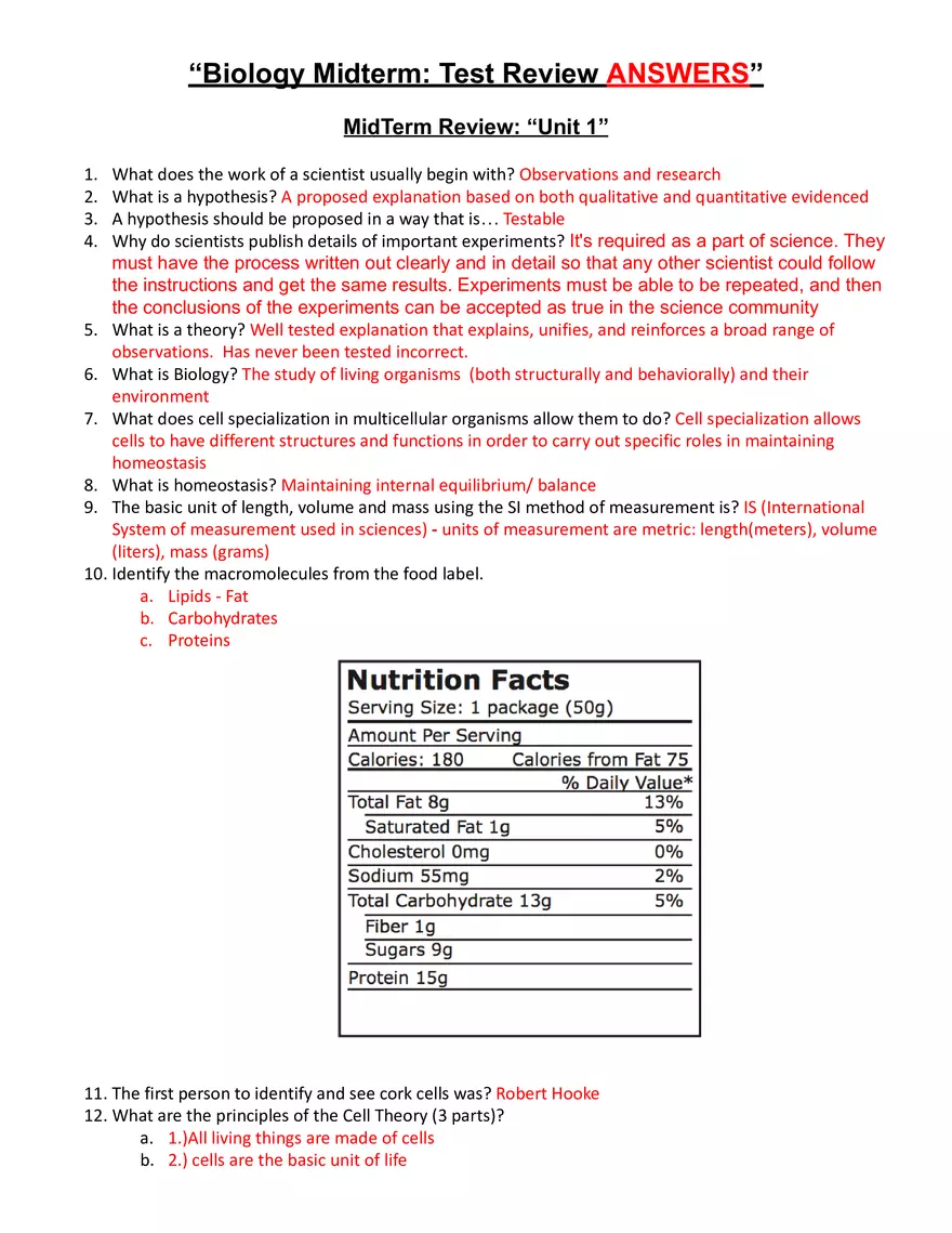
rehinhea0c
Report
Tell us what’s wrong with it:
Thanks, got it!
We will moderate it soon!
Report
Tell us what’s wrong with it:
Our EduBirdie Experts Are Here for You 24/7! Just fill out a form and let us know how we can assist you.
Enter your email below and get instant access to your document